PHE released the latest epidemiological summary of the B.1.617.2 VOC (aka “the variant that was first identified in India”) a few days ago. Evidence is emerging rapidly, and the datasets are far from conclusive. But it now seems clear that B.1.617.2 is more transmissible, causes no more hospitalisation or mortality, and vaccine effectiveness is slightly reduced when compared with other variants.
The latest PHE technical briefing and associated risk assessment tells us the following:
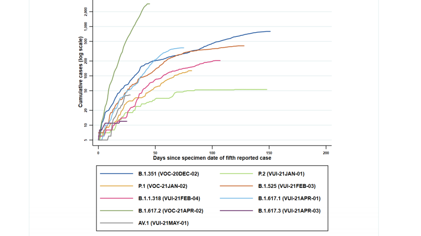
- Transmissibility. When compared with other variants, including the B.1.1.7 (aka “the variant that was first identified in Kent”), B.1.617.2 appears to be more transmissible. We can conclude this because the growth rate in the UK is faster when compared with other variants (see Figure 1). Also, epidemiological studies show that the secondary attack rate (SAR) is higher for B.1.617.2 than other variants. The SAR for close contacts identified by NHS Test and Trace in the UK was 12.5% (95% CI 11.1% – 14.0%) for B.1.617.2 compared with 8.1% (95% CI 7.9% – 8.3%) for B.1.1.7. The SAR was also higher in B.1.617.2 for people with a history of travel to at-risk countries. (Although rather confusingly, the SARs were lower in this group, because the definition of “contact” was broader and included, for example, being on the same aeroplane as a known case without close contact.)
- Hospitalisation and mortality. Reassuringly, at this stage the rate of attendance at ED, hospital admission, and death for B.1.617.2 is no different from other variants. However, the major caveat here is that we are at an early stage with B.1.617.2 and it may be that there hasn’t been time for many who are infected right now to deteriorate the point of requiring hospitalisation. So, a watching brief.
- Vaccine effectiveness. The emerging evidence suggests that there is a notable reduction in vaccine effectiveness after one dose, but not much of a difference after two doses of vaccine when comparing symptomatic disease datasets for B.1.617.2 with B.1.1.7. Vaccine effectiveness for B.1.1.7 after one dose was 51.1% (95% CI 47.3 to 54.7) and 86.8% (95% CI 83.1 to 89.6) after two doses, and for B.1.617.2 after one dose was 33.5% (95% CI 20.6 to 44.3) and 80.9% (95% CI 70.7 to 87.6) after two doses. Remember, vaccine effectiveness isn’t binary and the outcome here was symptomatic disease. So the picture for vaccine effectiveness at preventing serious disease, hospitalisation, and death may be more favourable. Worth noting here that influenza vaccination effectiveness is in the 30-60% region.

So, what does this mean? The emergence of multiple variants with slightly different properties is no surprise and it will continue. It’s normal viral epidemiology. The reduced effectiveness of the vaccine against B.1.617.2 is a concern, but also not a surprise. There’s a reason why we need a seasonal flu vaccine, and why it’s in the 30-60% effectiveness range each year – because there are influenza “VOCs” that wax and wane in a similar way to SARS-CoV-2 VOCs. It’s just that we don’t call them that!
What to do then? There’s a temptation to let down our collective guard and give up on the basics. But we must continue to focus on infection prevention, with vaccine promotion, PPE & physical distancing in our hospitals, and careful socialising outside of healthcare to prevent transmission.
Discover more from Reflections on Infection Prevention and Control
Subscribe to get the latest posts sent to your email.